-
프로그래머스 - 가장 먼 노드취업 준비/알고리즘 2025. 1. 9. 10:25문제 설명
n개의 노드가 있는 그래프가 있습니다. 각 노드는 1부터 n까지 번호가 적혀있습니다. 1번 노드에서 가장 멀리 떨어진 노드의 갯수를 구하려고 합니다. 가장 멀리 떨어진 노드란 최단경로로 이동했을 때 간선의 개수가 가장 많은 노드들을 의미합니다.
노드의 개수 n, 간선에 대한 정보가 담긴 2차원 배열 vertex가 매개변수로 주어질 때, 1번 노드로부터 가장 멀리 떨어진 노드가 몇 개인지를 return 하도록 solution 함수를 작성해주세요.
제한사항- 노드의 개수 n은 2 이상 20,000 이하입니다.
- 간선은 양방향이며 총 1개 이상 50,000개 이하의 간선이 있습니다.
- vertex 배열 각 행 [a, b]는 a번 노드와 b번 노드 사이에 간선이 있다는 의미입니다.
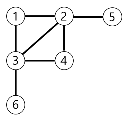
입출력 예 설명6 [[3, 6], [4, 3], [3, 2], [1, 3], [1, 2], [2, 4], [5, 2]] 3 예제의 그래프를 표현하면 아래 그림과 같고, 1번 노드에서 가장 멀리 떨어진 노드는 4,5,6번 노드입니다.

import java.util.*; class Solution { static List<List<Integer>> graph; static boolean[] visited; public int solution(int n, int[][] edge) { // 그래프 초기화 (인접 리스트 사용) graph = new ArrayList<>(); for (int i = 0; i <= n; i++) { graph.add(new ArrayList<>()); } for (int[] line : edge) { int left = line[0]; int right = line[1]; graph.get(left).add(right); graph.get(right).add(left); } // BFS 실행 return bfs(1, n); } static public int bfs(int start, int n) { visited = new boolean[n + 1]; Queue<int[]> queue = new LinkedList<>(); queue.add(new int[]{start, 0}); // {노드, 깊이} visited[start] = true; int maxDepth = 0; int count = 0; while (!queue.isEmpty()) { int[] current = queue.poll(); int node = current[0]; int depth = current[1]; // 최대 깊이 갱신 및 개수 계산 if (depth > maxDepth) { maxDepth = depth; count = 1; // 새로운 깊이의 첫 노드 } else if (depth == maxDepth) { count++; } // 인접 노드 탐색 for (int neighbor : graph.get(node)) { if (!visited[neighbor]) { visited[neighbor] = true; queue.add(new int[]{neighbor, depth + 1}); } } } return count; } }'취업 준비 > 알고리즘' 카테고리의 다른 글
프로그래머스 - 올바른 괄호 (6) 2025.01.10 프로그래머스 - 기능개발 (2) 2025.01.10 프로그래머스 - 입국심사 (5) 2025.01.08 프로그래머스 - 체육복 (4) 2025.01.07 프로그래머스 - 더 맵게 (1) 2025.01.06